Toggle navigation
Детали машин
Курс лекций
Литература
Курсовое проектирование
Примеры курсовых
Экзаменационные задачи
Сопромат (теория)
Литература
Приложения
Некоторые расчетные формулы
Сопромат (решения задач)
Внецентренное сжатие
Вычисление напряжений при колебаниях
Изгиб
Изгиб с кручением
Косой изгиб
Кривые стержни
Кручение
Напряженное и деформированное состояние
Прочность при ударных нагрузках
Растяжение-сжатие
Расчет напряжений от инерционных сил
Расчет плит
Расчет плоских рам
Расчет сосудов
Расчеты при переменных напряжениях
Сдвиг
Статически неопределимые рамы
Статически неопределимые стержневые системы
Устойчивость
Характеристики сечений
Для справок
Допускаемые напряжения
Коэффициент продольного изгиба
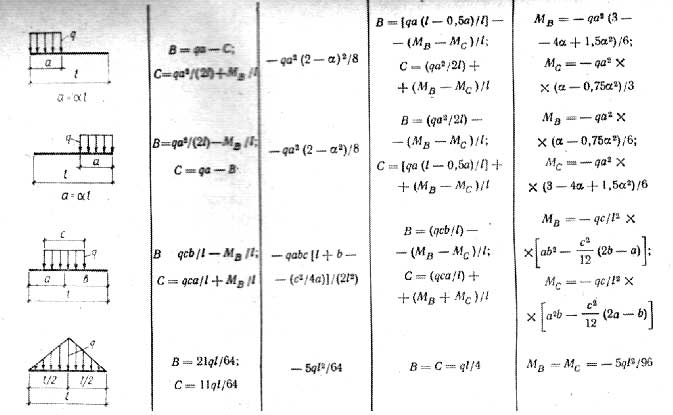
Опорные реакции и эпюры для некоторых балок
Расчетная приведенная длина при устойчивости
Расчетные сопротивления по СНиП
Расчетные формулы для основных форм сечений
Формулы для подсчета интеграла Мора
Изгиб балок
Главная
  /  
Справочные материалы
  /  
Изгиб балок
Изгиб балок
Опорные реакции и опорные моменты
Разработка и продвижение сайта
SELENA-INFO